|
Incremental
Support Vector Regression
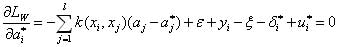
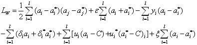
The incremental support vector regression algorithm updates
the trained SVR function whenever a new training input is added to the
training set. The basic idea is to change Lagrange multiplier parameters,
corresponding to the new input in a finite number of discrete steps until
it meets the Karush-Kuhn-Tucker (KKT) conditions [3]:
 
where
On-line
Support Vector Regression Updating
Figure 1 and figure 2 shows the on-line learning procedure
of the support vector regression. X-axis is the intensity of data and
Y-axis is the probability of pixels belonging to the background. In Figure
1, training data are labeled as red cycles. They scatter in a small range.
After training, their probability distribution is estimated as a single
hump (red dash curve). When a new data labeled as black star is coming,
the probability distribution is on-line learned and becomes two different
humps (black curve). Figure 2 shows the change of a multi-peak distribution
without and with the new input. It can be seen that the probability distribution
will move from left to right along the movement direction of new incoming
data and support vector regression-based background model has the learning
ability to adapt the new incoming data.
 |
|
Figure 1. On-line updating of
support vector regression.
|
 |
Figure 2. On-line updating of support vector
regression.
|
|